A3: Huffman Compression
Instructions: Remember, all assignments in CS 3410 are individual. You must submit work that is 100% your own. Remember to ask for help from the CS 3410 staff in office hours or on Ed! If you discuss the assignment with anyone else, be careful not to share your actual work.
The assignment is due via Gradescope at 11:59pm on the due date indicated on the schedule.
Submission Requirements
You will submit your completed solution to this assignment on Gradescope. You must submit:
priority_queue.c, which will contain your work from Lab 3 as this assignment’s Task 0.huffman.c, which will contain your work for Task 1 and Task 2.
Restrictions
- You may not modify any files other than
huffman.candpriority_queue.c(i.e., the files you will submit) except the test files (read the section below).
Provided Files
priority_queue.h, which is a header file that defines the specification for the priority queue.priority_queue.c, which will contain your implementation of a priority queue and stack. You should have this file completed from lab. If not, make sure to complete it now.huffman.h, which is a header file that defines the types and functions you will need to implement Huffman compression.huffman.c, which will contain your implementation for the Huffman compression system. You will also modify this one.bit_tools.h, which is a header file that defines theBitWriterandBitReaderstructs and their respective functions for reading and writing binary values from files.bit_tools.c, which contains the implementation of the functions forBitWriterandBitReader.memcheck.h, which is a header file that defines themy_mallocandmy_freemacros and their respective wrapper implementation (my_malloc_implandmy_free_impl) for allocating and deallocating memory from and to the heap.memcheck.c, which contains the implementation of the wrapper functions formy_malloc_implandmy_free_implalongside any helper functions.utils.h, which contains utility functions for printing lists and tree nodes.utils.c, which contains the implementation for the utility functions.decode_bits.py, which contains the implementation for a script to decode a coding table into a more human-readable representation.check_memory_leaks.py, which contains the implementation for a script to analyze memory allocation/deallocation logs and report memory leaks, if any.Makefile, which contains the build tools for this assignment.test_priority_queue.c, which contains all necessary functions to test your implementation for the priority queue. You may add tests here, but you will not turn this file in.test_huffman.c, which contains functions to test your implementation for Task 1. You may also modify this file (highly recommended specifically), but will not turn this file in.cu_unit.h, which contains the macro definitions that you’ll use for unit testing.compress.c, which contains the compression program’s command line interface.decompress.c, which contains the decompression program’s command line interface.
Getting Started
To get started, obtain the release code by cloning your assignment repository from GitHub:
git clone git@github.coecis.cornell.edu:cs3410-2026sp-student/<NETID>_huffman.git
Replace <NETID> with your NetID. All the letters in your NetID should be in lowercase.
Overview
In this assignment you will implement a data compression system using Huffman coding. Huffman compression is an encoding scheme that uses fewer bits to encode more frequently appearing characters and more bits to encode less frequently appearing characters. It is used by ZIP files, among many other things. The high-level overview of the algorithm is:
- Calculate the frequency of each character in the data. (Task 1)
- Build a Huffman tree using the frequencies, leveraging a priority queue. (Task 1)
- Build an encoding table using the Huffman tree. (Task 2)
- Encode each character in the data using your encoding table. (Task 2)
In Lab 3, you will implement a priority queue in C. You’ll use this to build your Huffman tree. The bulk of the work for this assignment will come from understanding the Huffman coding algorithm and manipulating data structures in C using pointers. There are plenty of resources on the internet (including YouTube) to help in understanding Huffman encoding. We find this video to be the quickest way to understand it in a way that’s to-the-point and easy to translate into the assignment.
Huffman Compression Algorithm
Your implementation will read a single text file as input and produce two output files: a compressed data file and a coding table file that encodes enough information to allow decompression. (This assignment does not include decompression; we have given you a decompressor implementation.) Task 2 describes the format for these files.
Before moving onto the tasks, let’s break down the Huffman compression algorithm. You may recall that ASCII is a straightforward way to represent characters. In ASCII, every character is encoded with 8 bits (1 byte). There are 256 possible ASCII values that can be represented. This means that if we use standard ASCII encodings to represent a text file, each character in the file requires exactly 1 byte. This is inefficient, as most text streams don’t actually use all 256 possible characters. The basic idea behind Huffman encoding is as follows: use fewer bits to represent characters that occur more frequently.
For example, consider the string go go gophers.
Notice how g and o appear three times more often than the remaining letters.
It would be nice if we could construct an encoding which uses fewer bits for g and o and (possibly) more bits for the remaining characters (e.g., h, r).
That’s the goal with Huffman coding.
At the heart of Huffman coding is the Huffman tree data structure. A Huffman tree is a binary tree with characters at its leaves. Each edge in the tree corresponds to a bit: a left edge corresponds to 0 and a right edge corresponds to 1. To get the encoding for a character, follow the path from the root node to the character’s leaf node and concatenate all the corresponding bits.
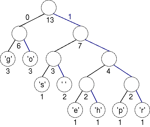
Here’s a Huffman tree that contains all the characters in our string, go go gophers:

We have labeled each leaf with the frequency of that character. Internal nodes also have a frequency number that is the sum of all the frequencies of the children.
Here’s a table that shows the binary code for each character, according to this tree:
| Character | Binary code |
|---|---|
| 101 |
e | 1100 |
g | 00 |
h | 1101 |
o | 01 |
p | 1110 |
r | 1111 |
s | 100 |
Remember, you get the encoding by traversing the path from the root to the character, using a 0 for every left edge and a 1 for every right edge.
Want to see a step-by-step walkthrough of this exact example (
go go gophers)?
Check out the full breakdown here.
The Huffman tree ensures that characters that are more frequent in the input receive shorter encodings, and characters that are less frequent receive longer encodings. Our goal is to construct the Huffman tree, write the coding table, and write the compressed file using these shorter encodings.
Assignment Outline
- Task 0: You will implement a priority queue in C.
- Task 1: You will implement the
calc_frequenciesfunction inhuffman.calongside the algorithm to create a Huffman tree. - Task 2: You will implement the functions
write_coding_tableandwrite_compressedto write the coding table and compressed bytes to distinct files.
Implementation
Warning
In this assignment, you will be allocating/deallocating memory using our wrappers my_malloc and my_free. They essentially make the same system calls (malloc and free, respectively), except that they log the operation (enabling you and us to detect any memory leaks). Do NOT use standard malloc and free in your implementation instead of my_malloc and my_free. Also, the test files will call these macros, so if your implementation doesn’t use them, there will be unavoidable memory leaks.
Also, after every call to my_free, be sure to call my_free(NULL). Our custom allocation library depends on this extra call to preserve internal invariants.
Task 0: Implementing a priority queue
You should implement a priority queue in C in the corresponding lab for this assignment. The lab writeup provides guidance to help you complete this component.
Task 1: Implementing a frequency counter, and building a Huffman tree
Before starting, make sure you’ve cloned the release code by following the instructions in Getting Started.
Also, make sure you have thoroughly tested your code from priority_queue.c, as it will be used extensively in the rest of the assignment. If you are confident your code is correct, now would be a good time to commit and push your work to GitHub.
Step 1: Implementing calc_frequencies
The code for this task is located in huffman.c. You will be implementing the
following function:
calc_frequencies(Frequencies freqs, const char* path, const char** a_error): Open a file atpathand either store the character frequencies infreqor set*a_errortostrerror(errno).
Before getting started, we recommend you take a look at the type definitions and function
specification located in huffman.h. In particular, pay careful attention
to these two lines:
typedef unsigned char uchar;
typedef uint64_t Frequencies[256];
The first line tell us that uchar is simply an alias for an unsigned char. Similarly,
the second line tells us that Frequencies is an alias for an array of 256 unsigned
integer values.
For the function calc_frequencies, the caller is responsible for initializing
freqs[ch] to 0 for all ch from 0 through 255. The function should behave as follows:
-
If the file is opened correctly, then set
freqs[ch]to \(n\), where \(n\) is the number of occurrences of the characterchin the file atpath. Note that acharis an integer type, so it can be used to index directly into an array. But note that, just like other integer types, we need to specify whether it is signed/unsigned.After this, return
true. Do not modifya_error. -
If the file could not be opened (i.e.,
fopenreturnedNULL), set*a_errortostrerror(errno)and returnfalse. Do not modifyfreqs.
You only need to check for errors related to failure to open the file. This
function should not print anything, nor should you call my_malloc or my_free.
You do not need them.
This function will need to use file input/output functions from the stdio.h header.
In particular, use the documentation for fopen, fgetc, and fclose.
Working with files in C can be confusing at first. Let’s look at some of the
basic syntax:
#include <stdio.h>
#include <stdlib.h>
void print_first_character(char const* path) {
FILE* stream = fopen(path, "r"); // this opens the file in reading mode
char ch = fgetc(stream); // read one character from the file, starting from the beginning
fputc(ch, stdout); // write that character to stdout
fclose(stream); // always call fclose() if you call fopen()
}
int main(int arc, char* argv[]) {
print_first_character("animal.txt");
return 0;
}
In the fopen function, the second argument indicates the mode the file should
be opened in. "r" is for reading, "w" is for writing, and "a" is for appending.
If you wanted to write a function to print out every character in a file (and
not just the first), you’d write something like this:
void cat(char const* path) {
FILE* stream = fopen(path, "r");
for (char ch = fgetc(stream); !feof(stream); ch = fgetc(stream)) {
fputc(ch, stdout);
}
fclose(stream);
}
Be sure to use the stdio.h documentation to find the I/O functions you need.
Again, we recommend testing your code for calc_frequencies before moving on.
Create a file called test_frequencies.c, and an example file such as animals.txt.
Try calling your function and seeing if it correctly obtains the frequencies of
each character in the text file using cu_unit.
Step 2: Building a Huffman tree
So far, we have created a priority queue that accepts a “generic” data type. We will use the priority queue in this task to build our Huffman tree.
The implementation for the Huffman tree will be contained in huffman.c. Look
carefully first at huffman.h to ensure you understand the functions you are
required to implement. In what remains of Task 1, you will implement these two functions:
TreeNode* make_huffman_tree(Frequencies freq): Given an arrayfreqwhich contains the frequency of each character, create a Huffman tree and return the root.void destroy_huffman_tree(TreeNode** a_root): Given the address of the root of a Huffman tree created bymake_huffman_tree(...), deallocate and destroy the tree.
Recall that freq is an array with 256 values. Each
index of the array is an ASCII character (recall that chars are just unsigned
bytes in C). The value of freq[c] is the frequency of character c in the
input file.
Also important in the header file is the definition of the TreeNode struct.
A Huffman tree node contains the character, the frequency of the character in the input, and
two child nodes. Huffman’s algorithm assumes that we’re building a single tree
from a set (or forest) of trees. Initially, all the trees have a single node
containing a character and the character’s weight. Iteratively, a new tree is
formed by picking two trees and making a new tree whose child nodes are the
roots of the two trees. The weight of the new tree is the sum of the weights of
the two sub-trees. This decreases the number of trees by one in each iteration.
The process iterates until there is only one tree left. The algorithm is as
follows:
- Begin with a forest of trees. All trees have just one node, with the weight of the tree equal to the weight of the character in the node. Characters that occur most frequently have the highest weights. Characters that occur least frequently have the smallest weights. These nodes will be the leaves of the Huffman tree that you will be building.
- Repeat this step until there is only one tree: Choose two trees with the
smallest weights; call these trees
T1andT2. Create a new tree whose root has a weight equal to the sum of the weightsT1 + T2and whose left sub-tree isT1and whose right sub-tree isT2. - The single tree left after the previous step is an optimal encoding tree.
To implement this strategy, use your priority queue to store your tree nodes. You want all the nodes to be ordered by their weights, so you can easily find the two trees with the smallest weights (at the front of the queue). You will need to write your own comparison function to implement this policy. To break ties when two tree-nodes have the same frequency, you can order them lexicographically by the ASCII value of the character.
Warning
We will not pay particular attention to the tie-breaking between a node and a non-leaf node, since those nodes are supposed to not hold a value in theory. Adding a tie-breaking here would make your implementation unnecessarily more complex. While there is only a single theoretically correct Huffman tree, this implies that the tree we build here can take on multiple forms. That’s fine; we will not grade based on the exact structure of your Huffman tree, but the properties delineated below.
When you test your code, you should make sure that calling destroy_huffman_tree(TreeNode** a_root)
ensures that your code has no memory leaks.
For testing, there are a few properties of Huffman trees we would like to verify:
- The weight of an internal node is equal to the sum of the weights of its children.
- The sum of the weights of the leaf nodes is equal to the number of characters in the uncompressed text.
- If the number of distinct leaf nodes is \(n\), then the number of total nodes in the Huffman tree is \(2n - 1\).
The last property follows from the fact that if you start with \(n\) leaf nodes, you need \(n - 1\) internal nodes to connect them.
We’ve provided you with a file test_huffman.c, which defines functions that
verify the aforementioned properties using cu_unit.h. We’ve provided three
test functions: one for each file given to you in the tests directory. You
are encouraged to add more thorough tests yourself; however, you do not need to turn
in test_huffman.c. Once you are confident your implementation is correct, move on to the next task.
To compile and run this program, you’ll run:
rv make hufftest
rv qemu test_huffman
Task 2: Writing the compressed file and coding table
Now we have all of the pieces we need to write the compressed file and
the coding table. For this task, you must implement two functions, found in huffman.c:
void write_coding_table(TreeNode* root, BitWriter* a_writer): Write the code table toa_writer->file. This function writes to a file calledcoding_table.bits.void write_compressed(TreeNode* root, BitWriter* a_writer): Write the encoded data toa_writer->file. This function writes to a file calledcompressed.bits
Important
Task 2 consists of two independent subproblems:
- Encoding the structure of the Huffman tree into a coding table (
write_coding_table)- Encoding the input data using that tree (
write_compressed)These two functions solve very different problems and should be implemented separately. You do not need to understand one in order to implement the other.
The above functions make use of the BitWriter struct, which is defined in
bit_tools.h. The BitWriter allows us to write data to a file in increments
of bits instead of bytes.
(Normal file writing APIs, including C’s standard stdio.h, only support writing entire bytes at a time.)
You are not responsible for fully
understanding the inner workings of BitWriter, but you do need to know how
to use it to write data to the file.
The BitWriter struct contains a file that
is already opened in "w" mode. To write bits to the file, you must call the
function write_bits(BitWriter* a_writer, uint8_t bits, uint8_t num_bits_to_write).
It takes three parameters:
a_writer: The address of aBitWriterthat contains a file which is open for writingbits: The bits you want to write, stored in auint8_tnum_bits_to_write: The number of bits you want to write, which must be between 0 and 8 inclusive
For both the compressed file and the coding table, you should only need to write
bits to the file in 1-bit and 8-bit increments. The following program may help in
understanding the behavior of the BitWriter more clearly:
int main(int argc, char* argv[]) {
BitWriter writer = open_bit_writer("new_file.bits");
write_bits(&writer, 0x05, 3); // 0x05 ↔ 00000101₂ ⋯ writes just 101₂
write_bits(&writer, 0xf3, 3); // 0xf3 ↔ 11110011₂ ⋯ writes just 011₂
write_bits(&writer, 0x01, 2); // 0x01 ↔ 00000001₂ ⋯ writes just 01₂
write_bits(&writer, 0x20, 6); // 0x20 ↔ 00100000₂ ⋯ writes just 100000₂
write_bits(&writer, 0x13, 5); // 0x13 ↔ 00010011₂ ⋯ writes just 10011₂
write_bits(&writer, 0x05, 5); // 0x05 ↔ 00000101₂ ⋯ writes just 00101₂
close_bit_writer(&writer);
return 0;
}
After running this code, you can inspect the new_file.bits file using the
following command:
xxd -b -g 1 new_file.bits
The xxd tool prints out files in binary, hex, and ASCII formats so you can see exactly what you have written.
Warning
Be careful when writing characters whose encodings are greater than 8 bits.
write_bitscan only write at most 8 bits at a time asbitsis an 8-bit unsigned integer (uint8_t). One way to get around this restriction is to iteratively print the number one bit at a time. See below for an example of how to do this:int main(int argc, char* argv[]) { BitWriter writer = open_bit_writer("new_file.bits"); uint32_t bits = 0x107; // 0x101 ↔ 100000111₂ --> more than 8 bits long uint8_t num_bits_to_write = 9; // THIS LINE WOULD FAIL because we have more than 8 bits we are trying to write in write_bits write_bits(&writer, bits, num_bits_to_write); // THIS LINE WORKS because we write the encoding bit-by-bit. for(int i = 0; i < num_bits_to_write; ++i){ write_bits(&writer, bits >> (num_bits_to_write - i - 1), 1) // write the encoded bits one at a time } close_bit_writer(&writer); return 0; }
Implementing write_coding_table
The coding table is a file that encodes the structure of your Huffman tree in a
text file. It is an important utility for the decompression algorithm, as it
allows you to recover the structure of the Huffman tree without needing the original
uncompressed text. In this step, we will write the encoded Huffman tree to a file
called coding_table.bits.
Important
Think of
write_coding_tableas:Post-order tree traversal + two very simple writing rules.
There is no compression logic, no lookup tables, and no state to track beyond the current tree node. This function only describes the structure of the Huffman tree.
To write the coding table, you do a post-order traversal of your Huffman tree.
- Traverse the left subtree of the root (i.e., encode it to the file).
- Traverse the right subtree of the root (i.e., encode it to the file).
- Visit the root.
Every time you “visit” a node (including the root of a subtree):
- If it is a leaf node (i.e., character):
- Write one bit:
1. - Then, write the entire character (8 bits) stored at that node.
- Example: If the character is
A, you will write0b101000001. You first write the1is to signify that it is a leaf, then the0b01000001to specify the character itself.
- Write one bit:
- If it is a non-leaf node (i.e., an internal node):
- You write one bit:
0.
- You write one bit:
To write out the bits for a character, you can pass a char value directly to write_bits.
For example, use write_bits(my_writer, 'A', 8) to write out the binary encoding of the character A.
Your code will write the bits for the coding table using BitWriter. To make the coding table more explicit, consider the following Huffman tree for go go gophers again:

If we provide this tree as an input to write_coding_table, the coding table representation should look like:
1g1o01s1 01e1h01p1r0000
In complete binary (as formatted by xxd), it would be represented as:
00000000: 10110011 11011011 11010111 00111001 00000010 11001011
00000006: 01101000 01011100 00101110 01000000
Notice that the first bit is a 1, indicating a leaf, followed by the byte
01100111, which represents the character g in ASCII. Write the bits of the
coding table to the file only. Do not write anything before or after the
encoding of the Huffman tree.
Before we move on, here’s another reminder that the Huffman tree you build in make_huffman_tree can take on various forms depending on how you tiebreak the non-leaf nodes; there is no single “correct” Huffman tree for the purpose of this assignment. This means your binary representation generated by the compression driver below for go go gophers might not match the example above; in fact, in our implementation we got:
00000000: 10111001 11011001 01101101 00000101 10011101 01101111 ..m..o
00000006: 10111000 01011100 10010010 00000000 .\..
So even if your coding table for the gophers example might not match our examples in this instruction, there is no need to fret. Just make sure to verify that your coding table matches your Huffman tree and run some tests.
You can verify the functionality of your write_coding_table by running the compression driver:
rv make
rv qemu compress tests/ex.txt
xxd -b -g 1 coding_table.bits
Running the compress binary will produce two files: coding_table.bits and
compressed.bits. You can inspect each of these files to verify the correctness
of the write_coding_table and write_compressed functions, respectively.
Viewing coding_table.bits will give you the binary representation of the coding table instead
of something like 1g1o01s1 01e1h01p1r0000, which is more human-readable. If you prefer this
representation for debugging, you can using decode_bits.py to print out such a representation
of your coding_table.bits file:
rv python3 decode_bits.py coding_table.bits
Implementing write_compressed
The compressed data file stores the Huffman-encoded version of the original input. It is used by the decompression algorithm to recover the original text using the Huffman tree. In this step, we will write the compressed data to compressed.bits.
Important
Think of
write_compressedas glue code.This function does not build the Huffman tree and does not decide encodings. Its job is simply to:
- Look up the Huffman encoding for each input byte, and
- Write those bits to the output file.
The argument
a_writer to the function points to a BitWriter that has compressed.bits open
for writing. To write the compressed data, you will need to traverse your Huffman tree to
recover the encodings, and then use the encodings to write the compressed data.
How you accomplish this is largely up to you—there are many valid approaches
here. Just make sure that there are no memory leaks and that your compressed
data file actually represents the Huffman encodings. Again, write the bits of
the compressed data only—do not write any bits before or after the compressed
bits.
Here’s one way to think about it. At a high level, write_compressed consists of:
- Building a Huffman lookup table from the tree. (You did this earlier!)
- Iterating through each byte in the original input. (A loop?)
- Writing the corresponding bit sequence for that byte. (Another loop?)
Each of these steps is simple on its own; most of the function is just connecting them together.
Warning
When you go to inspect the file, you may notice that there are an additional four bytes written to
compressed.bitsbefore the compressed data itself. These bytes represent the size of the original uncompressed text in bytes. Integers are typically four bytes, so we use four bytes to write this information to the file. This is written for you by the compression driver (do not write this yourself). The reason it’s there is for decompression—the decompression program needs to know how big the original text file was to recover the uncompressed text.
Using the go go gophers example, the compressed data
should look something like (where there are four additional bytes at the beginning):
00000000: 00001101 00000000 00000000 00000000 01101110 11011101 ....n.
00000006: 10110000 11001011 01000000 ..@
Notice that if you use the command ls -l, you can see the sizes of your files
in the directory in bytes. The original file was 13 bytes but the compressed
file is 9 bytes—our compression was successful!
Running and Testing
To make it easier to compile and run your code, we’ve provided a Makefile. To
build your program, simply type rv make. rv make will build two executables: a
compression program and a decompression program. To run the compression
program, type:
rv qemu compress <filename>
This will produce two output files: compressed.bits and coding_table.bits. If
you run the compression program on another input file, the two output files will
be overwritten with the new results.
To run the decompression program, type:
rv qemu decompress compressed.bits coding_table.bits <uncompressed_filename>
This produces a file called <uncompressed_filename>. To see if your compression was
successful, you can try comparing the result of the decompression to the
original unencoded file by running:
diff <original_file> <uncompressed_file>
For example, if you were trying this on the cornell.txt file in the tests
directory, you’d run:
rv qemu compress tests/cornell.txt
rv qemu decompress compressed.bits coding_table.bits uncompressed_cornell.txt
diff tests/cornell.txt uncompressed_cornell.txt
If you see nothing when running this, that means the files are identical and decompressing your compressed file was successful. Good work!
Note that the decompression tool is based on your implementation of the coding table and the Huffman tree. In other words, you might be able to decompress your file correctly, but that does not mean your Huffman tree is correct.
Round-trip compression and decompression is necessary for the correctness
of the entire system, but not sufficient, to
guarantee that all of the functions from Task 1 and Task 2 are correct. You are
strongly encouraged to use cu_unit.h to more thoroughly test your code for Task 1.
You can add tests directly to test_huffman.c. You are not required to submit this file, but we strongly
encourage you to test each task separately as that is how your code will be graded.
To build the test executables, you can run:
rv make pqtest
rv make hufftest
which will generate test_priority_queue and test_huffman, respectively.
Submission Guidelines
Submit huffman.c and priority_queue.c to Gradescope. Upon
submission, we will provide a smoke test to ensure your code compiles and
passes the public test cases (including a few from test_priority_queue.c).
Rubric
- 20 points: Priority Queue correctness (Task 0)
- 40 points: Huffman Tree correctness (Task 1)
- 40 points: Compression/Decompression correctness (Task 2)
Code that contains memory leaks will be subjected to a flat 5 point deduction.